The competition between AI models is flourishing at a rapid pace with new, more advanced models being introduced every day, and each of those models features successive milestones in performance. In this race, Google’s Gemini 2.5 Pro, released on March 25th, and OpenAI’s GPT 4.5, which just came out with a beta version on February 27th, represent what seems to be the latest innovations in AI advancement. Both of them potentially came with capabilities that they claim are leaps ahead of previous models.
Gemini Pro is now introduced as Google’s most intelligent A.I. model, primarily focused on greater reasoning and also targeting improved coding capabilities. It is positioned to tackle tasks at a much higher rate of accuracy.
Similarly, OpenAI’s GPT 4.5, named after its internal project name ‘Orion’ during development and being sold as OpenAI’s largest model yet, has an emphasis on providing a more conversational experience and reducing instances of misleading information.
This blog will take a closer look at the two latest models of AI on the market, presenting comparisons that include the fundamental features of each model, improvements that the model has claimed, observed metrics to quantify performance and to what extent either model can serve opportunities in the AI space.
What is Gemini 2.5 Pro?
Gemini 2.5 Pro, also introduced as Google’s most intelligent AI model, is their newest yet most advanced AI Model, which is intended to resolve complex tasks with significantly improved reasoning, coding, and multimodal capabilities. It is the first experimental release of the Gemini 2.5 series that leads the most significant AI benchmarks such as LMArena. This model is part of Google’s journey in building “thinking models” with improved decision-making and structured reasoning.
Gemini 2.5 Pro Features

The following are some important features of Gemini Pro:
- Increased Reasoning: This model is designed for complex maths, science, and logical reasoning tasks, as it offers a high level of analytical abilities across all disciplines.
- Advanced Coding Capabilities: This model far surpasses previous models in code generation, transforming, and editing code, even providing the ability to create an entire web app, or AI agent, or even a game, following only an explanation.
- Multimodal Capabilities: Apart from text, this model can handle images, audio, video, and even full code repositories to provide better, more descriptive responses.
- Expanded Context Window: This model provides up to one million tokens with a plan to expand to two million tokens, allowing the user to process large documents or datasets and allow more complex contextual processing.
Know How to Get into Gemini 2.5 Pro
Anyone can access Gemini Pro through the Gemini app, and the Gemini Advanced users can use it on Google AI Studio.
Steps to Access Gemini 2.5 Pro via Google AI Studio-
- Visit Google AI Studio: Go to aistudio.google.com and sign in with your Google account.
- Hit Gemini 2.5 Pro: On the right-side panel, after logging in, select the “Gemini 2.5 Pro Experimental 03-25” option from the dropdown list of models available now.
- Use Gemini 2.5 Pro: After selecting the model, you can input your prompts and interact with Gemini 2.5 Pro.
Steps to Access Gemini 2.5 Pro via Gemini App-
- Open the Gemini App: Open the Gemini app on your device.
- Confirm Subscription: Next, make sure you have a Gemini Advanced subscription to access Gemini 2.5 Pro.
- Hit Gemini 2.5 Pro: Now select ”2.5 Pro (experimental)” from the list of available models.
- Use Gemini 2.5 Pro: After selecting the model, you can start using it by entering your prompts.
What is GPT 4.5?
ChatGPT 4.5 represents the most recent advancement of OpenAI’s powerful language model and is built to improve accuracy, efficiency, and contextual understanding. As a successor to GPT-4, it includes numerous enhancements, establishing GPT-4.5 as a more dependable model that can be adopted across a range of use cases, including conversational AI, content generation, and coding.
Key Features of GPT 4.5

Below are some of the main features of OpenAI’s GPT-4.5:
- Multimodal Support:Users can now process text, images and files, enabling richer interactions and use cases.
- Impressive Contextual Sensitivity: ChatGPT 4.5 arrives with exciting promise for being able to provide greatly improved and contextually accurate responses leading to an improved user experience.
- Formalization of Output Generation: The model can generate more structured and coherent outputs, which is an anchor for advanced queries or tasks.
How to use GPT 4.5
- ChatGPT Pro users: ChatGPT Pro users can access GPT 4.5 on the ChatGPT′s web interface and apps using the dropdown menu that will include ‘GPT-4.5’ of models.
- OpenAI API: You can also use OpenAI GPT 4.5 via its API.
Specifications and Technical Details
| Feature | Gemini 2.5 Pro | GPT-4.5 |
|---|---|---|
| Alias | gemini-2.5-pro-exp-03-25 | gpt-4.5-preview-2025-02-27 |
| Description (provider) | A state-of-the-art thinking model | The best and biggest model for chat yet |
| Release date | 25 March 2025 | 27 February 2025 |
| Developer | OpenAI | |
| Primary use cases | Enriched thinking and reasoning, advanced coding, and multimodal understanding | Content creation, customer support, data analysis |
| Context window | 1,000,000 tokens | 128,000 tokens |
| Max output tokens | 64,000 | 16,384 |
| Knowledge cutoff | January 2025 | October 2023 |
| Multimodal | Accepted input: audio, images, video, and text | Accepted input: text, image |
| Fine-Tuning | No | No |
Practical Applications and Use Cases
Gemini 2.5 Pro
- Advanced Coding: Develop visually enthralling web applications and agentic code solutions.
- Improve Reasoning: Handles tasks that involve contextualized reasoning and logical judgment, outpacing competitors on tasks like Humanity’s Last Exam.
- Multi-modal Data Pipeline: Processes text, images, audio, video as well as other kinds of data and large datasets at the same time, enabling applications on integrated AI agents or media analysis from diversified domains.
GPT 4.5
- Content Creation & Writing: GPT-4.5 crafts engaging stories with strong emotional insight and aesthetic sense.
- Contract Analysis & Drafting: It streamlines contracts and creates fundamental legal documents, sparing time for legal teams.
- Project Organization & Problem Solving: ChatGPT streamlines tasks and aids decision-making with deep emotional intelligence.
Gemini 2.5 Pro vs. GPT 4.5: Performance Comparison

Gemini 2.5 Pro and GPT-4.5 are the latest, state-of-the-art models of their specific companies, which boast extraordinary capabilities in numerous AI-driven tasks. Nevertheless, are they actually that good?
So, to find out, we are going to be splitting both models on the next five complex tasks and carrying out the Gemini vs ChatGPT comparison:
- Image Analysis: To check their capability to decode, describe and extract insights from images.
- Coding: Testing their coding from code generation, bug-fixing and code tuning.
- Website Development: This is to show how good each of them generates functional and pretty-looking webpages.
- Logical Reasoning: It is an assessment of problem-solving ability, deduction and reasoning.
- PDF analysis: Their efficiency in reading and summarizing financial reports as well as complex documents.
At the end of every task, we are going to review their results depending on the accuracy, speed, and overall performance of the two models. So, let’s begin the showdown!
Task 1: Image Analysis

We gave both the software a task to analyse an image displaying ancient temple inscriptions. Their prompt was to identify the language, script style, any recognisable symbols or patterns while providing insights into its historical importance, cultural context, and possible meaning. Also, if the script belongs to a known civilization, then both AI software need to explain its relevance and noteworthy features. Moreover, they need to suggest how this inscription might have been used in religious or societal contexts.
Review:
| Criteria | GPT-4.5 | Gemini 2.5 Pro |
|---|---|---|
| Precision of Identification | Recognized the image as the inscription of an ancient temple with a Dharma Chakra, thus indicating Indian architectural traditions. | Precisely recognised the image as Konark Sun Temple as well as Surya’s celestial chariot as its symbolism. |
| Explanation Depth | Delivered extensive historical & cultural aspects, touching on religious significance, scripts, and architectural style. | Gave a widely detailed description of the wheel’s composition, spokes, deity representations, architectural motifs, and time symbolism. |
| Precision of Historical Details | Provided a vast historical perspective by covering temples across various Indian dynasties. | Gave an accurate historical reference to the Eastern Ganga Dynasty, King Narasimhadeva I, and the 13th-century temples and their origins. |
| Response Speed | Prompt generation of response. | A little slower but more detailed. |
| Detail Level | Provided moderate details with good historical insights and less technical details on architecture. | Delivered great details while providing architectural, cultural, and symbolic breakdowns with more accuracy. |
Final Verdict:
- GPT 4.5 was faster and broader and gave deep insights for quick understanding.
- Gemini 2.5 Pro’s response was more detailed and precise, especially in historical, cultural, and architectural aspects.
Task 2: Implementation of a News Summarization API
Both the software was given a task to write a FastAPI-based news summarization API. Their tasks were to accept a news article URL, scrape the article text, sum it up into three bullet points using an LLM, and return the Score as a JSON response. Additionally, they need to utilize BeautifulSoup for web scraping and to ensure proper error management.
Output by Gemini 2.5 Pro:

Source: Analytics Vidya
Output by GPT 4.5:

Source: Analytics Vidya
Review:
| Criteria | Gemini 2.5 Pro | GPT-4.5 |
|---|---|---|
| Code Structure | Well-structured and modular structure while following best practices. Clear separation of all concerns. | More compact but lacked modularity, which made it a little harder to maintain. |
| Code Readability | Clean function decomposition, type hints, and logging, which made it easy to understand. | Readable, however majorly monolithic, with minor helper functions and lesser clarity. |
Final Verdict:
- Gemini Pro provided better code structure and response quality, which makes it the preferred choice for building a News Summarization API.
- ChatGPT 4.5 was still strong but had minor response coherence and readability issues.
Task 3: Webpage Development
The objective of the software was to create a webpage for 5 music streaming channels, and the highest levels were given to visual appeal. Every channel was 100% for an artist e.g. Kendrick Lamar, Selena Gomez, Drake, Travis Scott, Miley Cyrus. It needed to have a clean and minimalist design of the concept taken from music streaming websites.
And every artist has their own section like-
- Profile Image of Artist – High-Quality.
- A short bio and career stats of the artist.
- Instruments like embedded music players / top track links of that artist respectively.
- A section is dynamically created that displays the latest news or artist tweets.
- Interactive playlist where users can browse around & make their own playlist.
- Native Animations & Hover Effect for a fantastic user experience.
- Responsive design to work on both desktop and mobile devices.
- The site is navigated easily, loads fast and has a search bar for users to find a particular song/ album related news of these artists.
Output by Gemini 2.5 Pro:

Source: Analytics Vidya
Output by GPT 4.5:

Source: Analytics Vidya
Review:
| Feature | Gemini 2.5 Pro (Effective UI/UX, More Wholesome, More Interactive) | GPT-4.5 (Limited Scope, Structured but Incomplete) |
|---|---|---|
| Search Bar | Present and functional | Present but not well-explored |
| Banner Images for Artists | Present for all five artists | Present, but only for Drake |
| Artist Biography & Career Highlights | Detailed and covers all five artists | Only Drake’s biography provided |
| Animations & Hover Effects | Smooth animations, immersive hover effects | Less emphasis on animations |
| Responsiveness & Mobile Support | Well-optimized for mobile and desktop | Responsive but not as polished |
| Performance & Loading Speed | Loads quickly and efficiently | Loads well but has limited content |
| Overall Content Accuracy | Comprehensive with all artists properly included | Limited to only Drake, missing other artists |
| Interactivity & Engagement | Highly interactive and engaging UI | Less interactive and static |
Final Verdict:
- Gemini Pro is the winner in terms of UI/UX, completeness, and interactivity. It encompasses all five artists while containing animations, playlists, a functional search bar, and news updates.
- GPT 4.5 falls short as it only focuses on Drake, making it less comprehensive and interactive despite being well-structured.
Task 4: Logical Reasoning
Both software were evaluated in a task of Newtonian riddle explanation for deep space propulsion using Newton’s Laws of Motion. The situation is: A spacecraft in deep space, far away from much significant gravitational influence. It fires thrusters in forward for a split second and then turns them off. What happens to the motion of this ship?
Output by Gemini 2.5 Pro:

Source: Analytics Vidya
Output by GPT 4.5:

Source: Analytics Vidya
Review:
| Criteria | Gemini 2.5 Pro | GPT-4.5 |
|---|---|---|
| Depth of Explanation | Explained Newton’s 1st, 2nd, and 3rd laws separately, detailing force interactions. | Mainly focusing on Newton 1st Law with a very short introduction to acceleration. |
| Clarity & Readability | Very good way of explaining and is very well-structured; start to finish format was provided so it’s easy to follow. | Very clear, for quick reading comprehension. |
Task 5: PDF Analysis
Each software was instructed to read a Finance PDF document and pull critical intelligence out of the same, which will include trends and patterns regarding principal key insights. Summarizing main conclusions, each software needs to draw out citations or obvious findings and give a succinct interpretation of the content.
Output by Gemini 2.5 Pro:


Source: Analytics Vidya
Output by GPT 4.5:

Source: Analytics Vidya
Review:
| Criteria | Gemini 2.5 Pro | GPT-4.5 |
|---|---|---|
| Depth of Analysis | With great detail, it went into encompassing aspects so tellingly – broken down budget vs. actual comparison & designed revenue breakdowns for the rollup level. | Somewhat less detailed on finance though good structure. |
| Clarity & Readability | Tree-structured with sections, sub-points or clear partitioned insights. | Compact and sharp to read. |
| Scientific Accuracy | Financial clippings are crisp and accurate prose, substantial IPSAS compliance and elaborate actuarial analysis. | Valid but gives a slightly higher-level summary. |
| Comprehensiveness | It touches on the full breadth of primary areas – revenue trends, cost analysis, COVID-19 views as well ASHI liability. | Covered broad based on the top features, but with lower level of details. |
| Concise Interpretation | Included extensive analysis of the financial hardening and challenges of WIPO. | The main points were articulated clearly and summarised well. |
| Key Figures & Data | Provided a lot of the financials (breakdown of revenue, %age change etc.). | Lots of the big financials, but less of a grainy comparison. |
| Anomalies & Insights | Clearly showcases unexpected revenue styles as well as actuarial losses. | Refer to fundamental anomalies yet with low analytical depth. |
| Strategic Implications | Explicitly displays financial risk handling and long-term concerns of liability. | Highlights strategic financial planning yet with a little risk consideration. |
Final Verdict:
- Detailed data analysis, including meticulous financials and technical depth from the Gemini Pro.
- GPT-4.5 produced a broad yet thorough abstract so as to make it more understandable to lay readers.
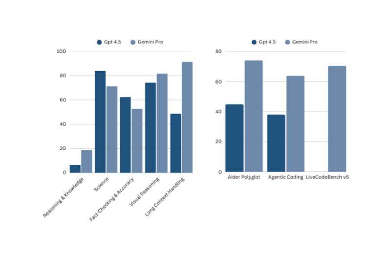
Gemini 2.5 Pro vs. GPT-4.5: Benchmark Comparison

Here’s a quick comparison of the Gemini 2.5 Pro & GPT 4.5 performances across numerous standard benchmark tests:
Reasoning & Knowledge:
Gemini Pro significantly outperforms ChatGPT 4.5 in reasoning-based evaluations like Humanity’s Last Exam (18.8% vs. 6.4%), showing stronger logical and analytical abilities.
Science & Mathematics:
- Gemini dominates in science knowledge (GPQA Diamond) with 84.0% vs. 71.4%.
- Mathematics is a strong suit for Gemini, with AIME 2024 (92.0%) and AIME 2025 (86.7%), while GPT-4.5 lacks scores in these areas.
Coding & Software Engineering:
- LiveCodeBench v5 (Code Generation) is missing for GPT-4.5, but Gemini scores a decent 70.4%.
- Gemini leads in Aider Polyglot (Code Editing) with 74.0%, outperforming GPT 4.5’s 44.9%.
- For agentic coding (SWE-bench verified), Gemini scores 63.8%, while GPT-4.5 lags behind at 38.0%.
Fact-Checking & Accuracy:
GPT 4.5 leads in SimpleQA (Fact-checking & Accuracy) with 62.5%, while Gemini scores 52.9%. This suggests that ChatGPT 4.5 has stronger factual consistency.
Multimodal & Vision Abilities:
- Gemini excels in visual reasoning (MMM-U) with 81.7%, outperforming GPT-4.5 (74.4%).
- For image understanding (Vibe-Eval), Gemini scores 69.4%, while GPT 4.5 lacks this capability.
Long Context Handling & Multilingual Abilities:
- Gemini handles long context far better (MRCR 128k tokens: 91.5% vs. GPT-4.5’s 48.8%).
- For multilingual performance (Global MMLU), Gemini scores 89.8%, while ChatGPT 4.5 lacks data.
Conclusion
After an exhaustive comparison of Gemini 2.5 Pro with ChatGPT 4.5; Google’s latest AI far surpasses OpenAI on most axes. These are historical analyses, code generation, web development and reasoning areas. The comparison showed superior depth of analysis and structure in Gemini Pro It also blew away at stuff like image interpretation and webpage recognition. Modular coding is the way to go for API based implementations, in my opinion.
Still, however, GPT 4.5 is a pretty good option. GPT is known for its blazing fast and wide contextual comprehension. It works extremely well for quick, broad insights, amongst others. At the moment, for those looking for more elaborate structured reasoning and problem-solving, Gemini 2.5 Pro is the clear champ. For fast, versatile conversational AI applications, GPT 4.5 is still the top choice.
Collaborating with a digital transformation company enables businesses to evaluate and implement the right AI models across their operations, driving faster innovation and sustainable growth.
So, are you excited to step into the future of AI? Consult DigiMantra experts for AI software development services for your business today!
AI-FIRST ENGINEERING FOR MODERN BUSINESSES
Designed for performance. Powered by innovation.
Product Development
Custom Software
Mobile & Web
AI & Automation
Cloud Management
Intelligent Systems